Έσπασαν τα κοντέρ στο Βαρβάκειο Λύκειο

Αν θέλετε ακολουθήστε μας, κοινοποιήστε ή κάνετε like:

Σχολείο Αρίστων

 

Γράφει η Όλγα Μενεμενόγλου

Κάθε χρόνο και καλύτερα τα αποτελέσματα των Πανελλήνιων για τους μαθητές της Βαρβακείου Σχολής, που παρά τις δυσκολίες και τις αντιξοότητες του τελευταίου ενάμιση χρόνου πέτυχαν να εισαχθούν σε κορυφαίες σχολές της τριτοβάθμιας εκπαίδευσης και μάλιστα με το απόλυτο 100%! Που σημαίνει ότι δεν έμεινε ένας μαθητής εκτός!

Αξίζει να σημειώσουμε ότι από τους 98 μαθητές που έδωσαν Πανελλήνιες Εξετάσεις οι σαράντα τρεις (43) περνούν σε πολυτεχνικές σχολές, ποσοστό  44% επί του συνόλου και μάλιστα οι 25 στο Μετσόβειο Πολυτεχνείο!

Στο πεδίο των επιστημών υγείας τέσσερις (4) μαθητές πετυχαίνουν την εισαγωγή τους στην Ιατρική, ένας (1) στη Φαρμακευτική,  ένας (1) στην Οδοντιατρική και ένας (1) στην Νοσηλευτική Αθηνών.

Τέσσερις (4) στην Νομική Αθηνών, ενώ οι επιτυχίες συνεχίζονται με Βιολογία, Ψυχολογία Φιλολογία, Στατιστική, Αστυνομία, Ναυτιλιακά και αρκετοί στα πλέον περιζήτητα τμήματα της Πληροφορικής.

Τέλος αξίζει να αναφέρουμε ότι οι εξήντα εννιά (69) από τους ενενήντα οκτώ μαθητές θα φοιτήσουν στην Αθήνα και στον Πειραιά, ενώ οι σχολές εισαγωγής τους μας δείχνουν το υψηλό επίπεδο γνώσεων σε μαθήματα δύσκολα, όπως  μαθηματικά, φυσική και χημεία.

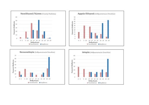
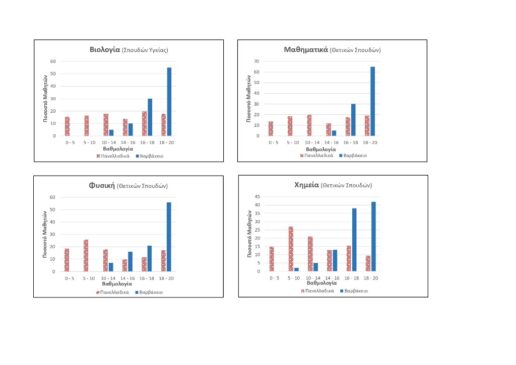
Ενδεικτικά παραθέτουμε κάποιους συγκριτικούς πίνακες σε σχέση με τα πανελλήνια αποτελέσματα:

 

Αν θέλετε ακολουθήστε μας, κοινοποιήστε ή κάνετε like:

Σχετικές δημοσιεύσεις